Die Optimale Bestellmenge Formel ist ein zentraler Bestandteil der Materialwirtschaft und hilft Unternehmen dabei, ihre Lager- und Bestellkosten ins Gleichgewicht zu bringen. Sie zeigt, wie viele Einheiten eines Produkts bestellt werden sollten, um Kosten zu minimieren und gleichzeitig die Lieferbereitschaft sicherzustellen.
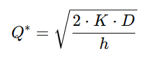
Sie basiert auf der Annahme, dass Lager- und Bestellkosten zusammen das Minimum ergeben sollen. Sie berücksichtigt mehrere Faktoren wie Bestellkosten, Lagerkosten und den Jahresbedarf. Diese ergeben zusammen folgende Formel, welche wir uns im Folgenden genauer angucken.
Jahresbedarf
Der Jahresbedarf gibt an, wie viele Einheiten eines Produkts ein Unternehmen im Jahr benötigt. Er zeigt, welche Menge zur Deckung des gesamten Verbrauchs gebraucht wird. Berechnet wird er meist durch die Formel:
Bestellkosten
Die Bestellkosten entstehen bei jeder Bestellung, unabhängig von der Bestellmenge. Dazu zählen zum Beispiel Kosten für Verwaltung, Versand oder Lieferantenauswahl. Sie werden meist als Kosten pro Bestellung angegeben.
Lagerkostensatz
Der Lagerkostensatz zeigt, wie teuer es ist, Waren im Lager zu halten. Er wird in Prozent vom durchschnittlichen Lagerwert angegeben und umfasst Kosten wie Miete, Energie oder Kapitalbindung. Ein niedriger Lagerkostensatz bedeutet meist eine effizientere Lagerhaltung. Berechnet wird er mit der Formel:
Optimale Bestellmenge Formel Beispiel
Jetzt verstehst du die Bestandteile der Formel. Da das Verstehen jedoch nicht ausreicht, sondern die Anwendung das Wichtigste ist, gehen wir jetzt zusammen ein Beispiel durch.
Gegeben:
Jahresbedarf D = 10.000 Stück
Bestellkosten K = 50€ pro Bestellung
Stückpreis p = 20€
Lagerkostensatz i = 10%
Der jährliche Lagerkostensatz pro Stück ist demnach: h = i ⋅ p = 0,10 ⋅ 20 € = 2 €/Jahr
Schritt 1: Um nun die Optimale Bestellmenge auszurechnen, benötigen wir die folgende Formel:
Schritt 2: Da wir jetzt die Formel haben, setzen wir die gegebenen Größen ein:
Schritt 3: Um jetzt die Bestellungen pro Jahr auszurechnen können wir noch folgende Formel benutzen:





